切换到宽版
 找回密码
 立即注册

QQ登录

只需一步,快速开始

西秦会馆

爆料、咨询:18909006163
广告、合作:13990030637
查看: 11672 | 回复: 98

[盐都杂谈] 100℃无法破坏毒性!这种“苦瓜”有毒!很多自贡人也爱吃→

    [复制链接]

577

主题

597

帖子

0

听众

Rank: 10Rank: 10

积分
4109
威望
600 点
铜板
2312 枚
西秦金币
0 个
鲜花
0 朵

在线时间
228 小时
注册时间
2022-3-1
发表于 2025-8-2 17:49:50 | 显示全部楼层 |阅读模式 | 来自四川
点进来的朋友
今天的餐桌上是不是
有葫芦瓜、丝瓜、黄瓜……
最近是吃瓜类蔬菜的季节
但注意:吃到发苦的
赶紧吐掉,一口都别多吃

wechat_2025-08-02_174533_137.png


每年夏天都有误食发苦的
葫芦瓜、丝瓜中毒的案例
今年也不例外

wechat_2025-08-02_174539_681.png

它们到底毒在哪?
怎么避免?
康康来给大家科普下
↓↓↓

一盘发苦的瓠子
可能比**还毒


瓠(hù)子、丝瓜、葫芦等蔬菜,属于葫芦科植物。它们在特殊条件下会产生一类发苦的高毒性物质:葫芦素

wechat_2025-08-02_174558_616.png

葫芦素在人体内会产生较强的细胞毒性,中毒症状在进食后10分钟到2小时便会出现,包括上吐下泻、消化道出血、肝肾功能损害、毛发脱落等,严重时甚至会导致死亡。

而且葫芦素是一大类化合物,目前已知的葫芦素有20多种,毒性有强有弱,其中葫芦素C、D、E、I均有致死案例。

wechat_2025-08-02_174618_609.png

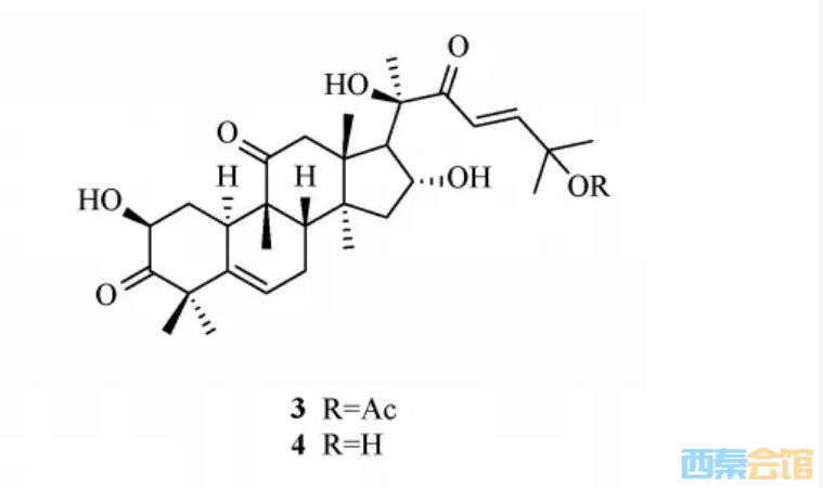
葫芦素D的结构

我们没办法分辨发苦的瓜里到底是哪种葫芦素。运气好的,可能只是有点小小的不舒服;运气不好的,虽然不是特别常见,但就要进医院了。


尤其是苦瓠子中含有的葫芦素D
毒性比**还强:
葫芦素D的小鼠经口半数致死量
低至5毫克每千克体重
相比之下
**的小鼠经口半数致死量
“不过”是20毫克每千克体重
不是吓人,现实中
吃几口就上吐下泻的案例不在少数

wechat_2025-08-02_174710_921.png

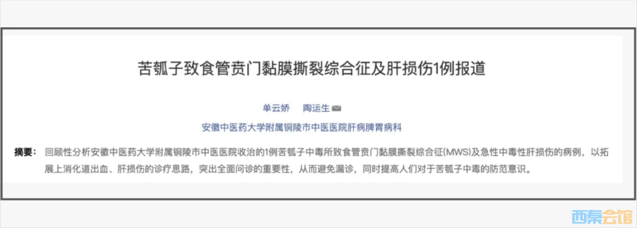
甚至出现
消化道出血、急性肝损伤:

wechat_2025-08-02_174718_650.png


还有人只是吃了葫芦瓜炖的肉
又用没洗的锅炒茄子
食用后也有中毒症状
这提醒我们:

吃到苦的别吞苦,吐苦别含糊
整盘最好都扔掉,别只挑苦料
锅碗瓢盆要洗好,不然苦味偷偷跑!

wechat_2025-08-02_174831_326.png


发苦的瓜类蔬果都别吃
吃了没事是万幸


严格来说,葫芦科的蔬菜和水果都要注意。

除了葫芦瓜、丝瓜、黄瓜、冬瓜、西葫芦、南瓜,水果里的甜瓜、西瓜也是。

研究表明,发苦的黄瓜果实中就含有葫芦素C,甜瓜瓜蒂的葫芦素B占80%以上。

一般葫芦科的蔬菜水果经过人类长期选育,已经很少或不产生葫芦素了,没有苦味。

然而,存在一些特殊情况:

● 有些植株可能“返祖”,恢复合成葫芦素的能力,例如基因突变、种植条件不佳(如干旱、低温)等;

● 苦味野生植株的花粉“污染”了栽培植株,杂交出来的种子种下去,收获的下一代果实就可能发苦。

不过,人类作为食物链顶端吃货,也不是“白吃素的”,我们对于苦味其实非常敏感。

别犹豫,如果葫芦科蔬菜(苦瓜除外)或水果苦到难以下咽,赶紧吐掉,真的有毒!


wechat_2025-08-02_174837_991.png

正值吃瓜季

快转发到相亲相爱一家人群

互相提醒吧

一起做不吃苦的吃瓜群众~

来源:自贡市疾控中心

广告

16

主题

5万

帖子

4

听众

Rank: 12Rank: 12

积分
104830
威望
16 点
铜板
54379 枚
西秦金币
0 个
鲜花
13 朵

在线时间
3816 小时
注册时间
2020-7-31
发表于 2025-8-2 17:55:35 来自手机 | 显示全部楼层 | 来自四川
回复

使用道具 举报

0

主题

3万

帖子

9

听众

Rank: 11Rank: 11Rank: 11

积分
67718
威望
0 点
铜板
35815 枚
西秦金币
0 个
鲜花
50 朵

在线时间
4702 小时
注册时间
2019-1-13
发表于 2025-8-2 18:04:26 来自手机 | 显示全部楼层 | 来自四川
学习了
回复

使用道具 举报

53

主题

3万

帖子

15

听众

Rank: 11Rank: 11Rank: 11

积分
73548
威望
39 点
铜板
38958 枚
西秦金币
0 个
鲜花
0 朵

在线时间
3757 小时
注册时间
2003-8-25
发表于 2025-8-2 18:05:55 来自手机 | 显示全部楼层 | 来自四川
哦哦
回复

使用道具 举报

47

主题

2万

帖子

13

听众

Rank: 11Rank: 11Rank: 11

积分
54273
威望
8 点
铜板
29998 枚
西秦金币
0 个
鲜花
2 朵

在线时间
6012 小时
注册时间
2004-7-10
发表于 2025-8-2 18:08:50 来自手机 | 显示全部楼层 | 来自四川
看哈多
回复

使用道具 举报

1

主题

3万

帖子

6

听众

Rank: 11Rank: 11Rank: 11

积分
62640
威望
1 点
铜板
32548 枚
西秦金币
0 个
鲜花
0 朵

在线时间
1331 小时
注册时间
2017-7-13
发表于 2025-8-2 18:16:40 来自手机 | 显示全部楼层 | 来自四川
哦哦
回复

使用道具 举报

4132

主题

14万

帖子

35

听众

Rank: 12Rank: 12

积分
334298
威望
4082 点
铜板
164828 枚
西秦金币
0 个
鲜花
1586 朵

原创之星

在线时间
23578 小时
注册时间
2012-4-21
发表于 2025-8-2 18:28:44 来自手机 | 显示全部楼层 | 来自四川
回复

使用道具 举报

136

主题

4万

帖子

17

听众

Rank: 12Rank: 12

积分
95731
威望
136 点
铜板
50855 枚
西秦金币
0 个
鲜花
70 朵

在线时间
7293 小时
注册时间
2016-5-6
发表于 2025-8-2 18:34:03 来自手机 | 显示全部楼层 | 来自四川
回复

使用道具 举报

0

主题

3万

帖子

0

听众

Rank: 11Rank: 11Rank: 11

积分
74199
威望
0 点
铜板
38321 枚
西秦金币
0 个
鲜花
0 朵

在线时间
865 小时
注册时间
2017-1-24
发表于 2025-8-2 18:42:06 来自手机 | 显示全部楼层 | 来自四川
回复

使用道具 举报

0

主题

3万

帖子

0

听众

Rank: 11Rank: 11Rank: 11

积分
73165
威望
0 点
铜板
37754 枚
西秦金币
0 个
鲜花
0 朵

在线时间
713 小时
注册时间
2022-10-16
发表于 2025-8-2 18:47:15 来自手机 | 显示全部楼层 | 来自四川
回复

使用道具 举报

0

主题

3万

帖子

0

听众

Rank: 11Rank: 11Rank: 11

积分
77666
威望
0 点
铜板
40091 枚
西秦金币
0 个
鲜花
0 朵

在线时间
1049 小时
注册时间
2022-7-22
发表于 2025-8-2 18:48:53 来自手机 | 显示全部楼层 | 来自四川
路过
回复

使用道具 举报

0

主题

3万

帖子

0

听众

Rank: 11Rank: 11Rank: 11

积分
72551
威望
0 点
铜板
37460 枚
西秦金币
0 个
鲜花
0 朵

在线时间
810 小时
注册时间
2022-10-7
发表于 2025-8-2 18:52:44 来自手机 | 显示全部楼层 | 来自四川
回复

使用道具 举报

0

主题

3万

帖子

0

听众

Rank: 11Rank: 11Rank: 11

积分
77101
威望
0 点
铜板
39777 枚
西秦金币
0 个
鲜花
0 朵

在线时间
952 小时
注册时间
2022-8-26
发表于 2025-8-2 18:57:56 来自手机 | 显示全部楼层 | 来自四川
回复

使用道具 举报

0

主题

3万

帖子

0

听众

Rank: 11Rank: 11Rank: 11

积分
73127
威望
0 点
铜板
37736 枚
西秦金币
0 个
鲜花
0 朵

在线时间
809 小时
注册时间
2022-10-16
发表于 2025-8-2 19:04:01 来自手机 | 显示全部楼层 | 来自四川
回复

使用道具 举报

0

主题

2万

帖子

0

听众

Rank: 11Rank: 11Rank: 11

积分
49494
威望
0 点
铜板
25538 枚
西秦金币
0 个
鲜花
0 朵

在线时间
251 小时
注册时间
2023-12-13
发表于 2025-8-2 19:15:01 来自手机 | 显示全部楼层 | 来自四川
回复

使用道具 举报

    您需要登录后才可以回帖 登录 | 立即注册

    本版积分规则

    快速回复 返回顶部 返回列表